Типы холодильных установок | Слесарь-судоремонтник
В воздушных холодильных установках воздух является промежуточным хладоносителем. Такая установка обеспечивает интенсивное движение воздуха в рефрижераторных трюмах. Воздух, воспринявший теплоту охлаждаемого трюма, всасывается электровентилятором и прокачивается через воздухоохладитель, установленный в выгородке трюма. Отдав теплоту холодильному агенту, кипящему в змеевиковом испарителе (или рассолу), воздух охлаждается и вновь нагнетается непосредственно в охлаждаемый трюм.
Фреоновая холодильная установка включает в себя: компрессор, конденсатор, испаритель, расширитель, терморегулирующие вентили (ТРВ), реле давления (РД), термостаты и другие приборы автоматики.
На рис. 36 дана схема фреоновой автоматизированной установки. При работе установки компрессор 3 сжимает газообразный фреон до давления 400—800 кН/м2 (4—8 кгс/см2) и нагнетает его через запорный клапан и маслоохладитель 2 в конденсатор 1, где фреон превращается в жидкость, охлаждаясь циркулирующей внутри труб забортной водой. Из конденсатора жидкий фреон, пройдя теплообменный аппарат 4, фильтр-осушитель 5 и соленоидный клапан 9, подается в терморегулирующий вентиль, с помощью которого регулируется количество жидкого фреона, поступающего в испарительные батареи 6. Кроме того, в ТРВ происходит дросселирование жидкого фреона, вследствие чего давление фреона снижается до 30— 100 кН/м
Рис. 36. Схема фреоновой автоматизированной установки.
Аммиачные холодильные установки применяют на транспортных, рефрижераторных и морозильных судах, когда требуются большие холодопроизводительности и температуры до — 180° С (93 К) в трюмах и до —40° С (233 К) в специальных холодильных камерах. Принцип получения холода в этих установках в основном такой же, как во фреоновых.
В абсорбционных холодильных установках рабочими телами холодильных машин являются бинарные (двухкомпонентные) растворы. Один из компонентов является собственно холодильным агентом, а другой — абсорбентом (поглотителем). Компоненты раствора подбирают таким образом, чтобы температура кипения холодильного агента при одном и том же давлении была значительно ниже температуры кипения абсорбента. Рабочими телами судовых абсорбционных холодильных установок могут быть водоаммиачный раствор и раствор бромистого лития. В качестве холодильного агента водоаммиачных установок применяется аммиак, поэтому они могут работать в области минусовых и плюсовых температур. Бромистолитиевые машины, в которых холодильным агентом является вода, работают в области плюсовых температур и применяются только для системы кондиционирования воздуха.
На рис. 37 дана простейшая схема абсорбционной холодильной машины. В кипятильнике-генераторе 4 крепкий водоаммиачный раствор кипит при давлении конденсации за счет подвода теплоты Qh. Аммиак, имеющий более низкую температуру кипения, чем вода, выпаривается из раствора. Слабый раствор, образовавшийся в результате выпаривания аммиака из крепкого раствора, возвращается через вентиль 3 в абсорбер 2. Пары аммиака поступают в конденсатор 5, где, отдавая теплоту QK забортной воде, конденсируются.
Рис. 37. Простейшая схема абсорбционной холодильной установки.
Жидкий аммиак при давлении конденсации поступает к регулирующему вентилю 6, в котором происходит процесс дросселирования (мятия). После регулирующего вентиля аммиак при давлении и температуре кипения поступает в испаритель 7, где кипит, отнимая теплоту Qo от охлаждаемого объекта. Пары аммиака, образовавшиеся в испарителе, направляются в абсорбер 2, в котором поглощаются (абсорбируются) при давлении кипения слабым раствором, поступающим из генератора 4 через регулирующий вентиль 3. В результате поглощения аммиака концентрация слабого раствора повышается.
Процесс абсорбции (поглощения) сопровождается выделением теплоты Qa, которая отводится забортной водой. Крепкий водоаммиачный раствор поступает к насосу 1, в котором сжимается от давления кипения до давления конденсации и перекачивается в капятильник-генератор 4. Холодильный агент циркулирует по контуру: генератор 4, конденсатор 5, регулирующий вентиль 6, испаритель 7, абсорбер 2 и генератор 4. Контур циркуляции абсорбента: абсорбер 2, насос 1, генератор 4, регулирующий вентиль 3, абсорбер 2.
Применение абсорбционных холодильных установок на судах бывает энергетически целесообразно в связи с тем, что для их работы могут быть использованы отходы теплоты от главной энергетической установки или пар низкого давления от механизмов.
www.stroitelstvo-new.ru
Классификация холодильных машин и установок
Все типы холодильных установок можно классифицировать по ряду сходных признаков. Каждый из них отражает только одну характерную особенность установки, поэтому в определении холодильной установки может быть два и более признака. Холодильные установки или станции могут различаться по следующим показателям (признакам).
По назначению: стационарные и передвижные с централизованным и децентрализованным охлаждением для холодоснабжения, теплоснабжения, смешанного тепло- и холодоснабжения, для аккумулирования тепловой энергии и ее транспорта и утилизационные энергоустановки.
- По производительности: крупные — производительностью свыше 3,0 МВт; средние — до 1,00 МВт, мелкие — до 60 кВт.
- По температурному режиму: высокотемпературные (10 −10°С), среднетемпературные (5 −20°С) и низкотемпературные (—20 −120°С).
- По режиму работы: стационарные, нестационарные, непрерывные или цикличные, нестационарные с аккумулятором тепловой энергии.
- По виду холодильного агента: аммиачные, фреоновые, этановые, пропановые, углекислотные, на смесях холодильных агентов.
- По виду охлаждения: с непосредственным, промежуточным охлаждением.
- По виду потребляемой энергии: с приводом от электродвигателя или от газовой турбины, работающие на вторичных энергоресурсах (абсорбционные холодильные установки), использующие естественный холод (тепловые трубы) и гелиоустановки.
Стационарные холодильные установки с централизованным охлаждением применяют для всех видов распределительных и производственных холодильников, в металлургической, химической и нефтехимической промышленности.
Децентрализованное охлаждение используют для различных технологических процессов химической промышленности, на некоторых типах холодильников, т. е. в основном там, где необходимо создавать локальные температурные условия или где применяют агрегатированные холодильные машины в блоке с испарителями для создания требуемого технологического режима.
Стационарные холодильные установки с централизованным охлаждением могут быть средней и большой производительности, причем для химических комбинатов иногда достигать нескольких десятков тысяч киловатт. Установки децентрализованного охлаждения по холодопроизводительности чаще всего относятся к мелким и средним.
Высокотемпературные холодильные установки малой и средней холодопроизводительности работают по одноступенчатому циклу, их комплектуют поршневыми или винтовыми компрессорами. Крупные холодильные установки можно комплектовать также турбокомпрессорами или абсорбционными холодильными машинами.
Низкотемпературные холодильные установки комплектуют двухступенчатыми или каскадными холодильными машинами, в химической промышленности — турбокомпрессорами.
Рассматривая режимы работы холодильных установок, следует указать на условность в определении стационарного режима. Практически режим работы холодильной установки всегда нестационарный, так как наблюдаются колебания температуры с заданной амплитудой около среднего ее значения. Такие режимы характерны для холодильных установок распределительных, производственных холодильников. Нестационарные режимы свойственны установкам и системам, обрабатывающим тела, в которых протекают процессы с фазовыми переходами и перемещением зоны промораживания.
Рассматривая особенности холодильных установок в зависимости от используемого рабочего тела, следует отметить, что их специфика определяется свойствами хладагентов. Однокомпонентные чистые хладагенты, находящиеся в эксплуатации в современных холодильных установках, хорошо изучены, и имеется достаточное количество рекомендаций, отражающих специфику холодильных установок. В Монреале подписано международное соглашение (1986 г.), которое требует постепенного исключения применения хлорфторуглеводородов в быту и в промышленности из-за разрушения озонового слоя в атмосфере Земли. Выполняя Монреальское соглашение, в нашей стране ведется работа по замене фреонов, сильно воздействующих на озоновый слой в атмосфере. Предлагаются альтернативные хладагенты.
Широко применяют смеси хладагентов для технологических процессов двухтемпературных уровней (домашние холодильники), а также процессов с переменной температурой подвода и отвода теплоты.
Аммиачные холодильные установки, самые распространенные и экологически наиболее чистые, применяют для холодоснабжения предприятий пищевой, химической, металлургической и других, промышленностей. Такие холодильные установки потребляют большое количество электрической энергии. Перед низкотемпературной энергетикой стоит задача использовать для холодоснабжения, особенно централизованного и для больших потребителей, абсорбционные холодильные установки, которые работают на вторичных энергоресурсах.
Приводы от газовых либо паровых турбин используют для высокопроизводительных центробежных компрессоров, предназначенных для транспортирования охлажденных газов или для схем газоперерабатывающих заводов.
Теплоснабжение городов за счет использования низкопотенциальной теплоты, а также транспортирования теплоты на дальние расстояния позволяет существенно повысить энергетическую эффективность использования топлива.
В отечественной практике отработаны основные технические решения создания водоаммиачного транспорта теплоты (ВАТТ) в химически связанном состоянии. Практически ВАТТ представляет собой абсорбционную холодильную установку, растянутую в пространстве, когда между абсорбером и генератором расстояние составляет до 200 км
infopedia.su
Разновидности холодильных установок
Современная холодильная техника условно подразделяется на три базовых вида: промышленную, торговую и бытового назначения. Основные виды установок отличаются по назначению, функциональности, эксплуатационным особенностям. На крупных предприятиях применяется холодильное оснащение промышленного типа. Холодопроизводительность таких установок — свыше 15 кВт. Главные элементы: компрессорный блок, воздухоохладитель, конденсатор, холодильная автоматика, в т. ч. терморегулирующий вентиль.
Типы холодильных машин:
- компрессорные. В зависимости от используемого хладагента бывают фреоновыми и аммиачными. Сжатие хладагента в подобных машинах производится при помощи компрессора;
- абсорбционные. В данном случае хладагент абсорбируется посредством твердого или жидкого компонента. По принципу функционирования абсорбционные машины бывают периодического и непрерывного действия. Агрегаты непрерывного действия бывают в насосном, безнасосном исполнении.
К числу достоинств абсорбционной техники относят надежность составляющих компонентов, простоту конструктивной схемы, малошумность при работе. Такое оборудование имеет большую массу и отличается потреблением значительного объема воды.
Пароконденсационные холодильные машины функционируют по особому принципу. Хладагент в жидкой форме поглощает тепло, после чего переходит в пар. Сбросив тепло, вещество возвращается в исходное жидкое состояние.
Холодильное торговое оснащение представлено установками малой, средней мощности. Они используются в супермаркетах с целью кратковременного хранения продукции или демонстрации товаров и незаменимы для кафе, магазинов, ресторанов различного масштаба. К категории торгового оборудования относятся камеры сборного типа. Они предназначены для длительного хранения товаров на складах, в помещениях, подсобных хозяйствах.
Технологичные холодильные камеры включают теплоизоляционные панели. С помощью такой установки создается необходимая для хранения продукции температура. Двери низкотемпературных установок оснащаются специальными электронагревателями. Это позволяет избежать примерзания к конструкции дверной коробки. Холодильные шкафы используются в магазинах и ресторанах при необходимости хранения напитков. Есть несколько видов техники данного типа.
Двери холодильных шкафов могут быть представлены в распашном, раздвижном исполнении. В компании «Эйркул» вы можете приобрести холодильное оборудование промышленного типа по приемлемой цене.
aircool.ru
Виды холодильников по принципу действия, их особенности
Человек, который впервые выходит за пределы рамок стандартных, знакомых с детства бытовых приборов, часто с удивлением узнает, что существуют разные виды холодильников. Они отличаются не столько принципом действия, который заключается в отводе тепла от продуктов в камере хранения, сколько технологиями, которые для этого применяются.Компрессорный класс
Самый распространенный тип холодильников — компрессорного типа. Это знакомые всем бытовые приборы, которые стоят в каждой квартире. Здесь применяется рабочее тело — хладагент, отводящий тепло от внутреннего пространства камеры хранения. При этом используется физическое свойство газа — резко охлаждаться при расширении и нагреваться при сжатии.
В состав технического решения компрессорного холодильника входят:
- хладагент, газ, способный легко менять свое агрегатное состояние;
- компрессорная установка закрытого типа;
- система конденсирования, работающая в роли устройства отдачи тепла в окружающую среду;
- испаритель, где происходит расширение и охлаждение рабочего тела.
Если рассматривать конструкцию холодильника по расположению узлов, можно легко опознать те или иные части устройства. Компрессор располагается снизу, он заметен и опознаваем. В холодильнике может быть один или два компрессора. Конденсатор — решетка темного цвета, изредка производители делают закрытую панель, закрепленную в задней части. Достаточно поднести руку к этой зоне холодильной установки, чтобы понять, насколько она нагревается при работе для отдачи тепла.
Испаритель находится внутри холодильника. Структура из трубок скрыта в стенках устройства, при этом в каждой камере (если вести речь о модели с разделенными пространствами) расположен собственный узел расширения хладагента.
Сразу стоит остановиться на методике работы многокамерных однокомпрессорных холодильников. Разные режимы холода достигаются простым перераспределением хладагента. Специальный электронно управляемый шлюз направляет то или иное количество газа в нужную зону. Однако при большой нагрузке холодильник зачастую не может гарантировать точное соблюдение заданных параметров внутреннего климата камер.
Отлично смотрятся двухкомпрессорные холодильники. Они специально разрабатываются так, чтобы гарантировать крайне высокие величины отвода холода в морозильных камерах и средние — в зонах хранения продуктов с температурой выше нуля или в пределах -10 градусов Цельсия.
Схема работы компрессионной системы проста:
- Хладагент подается в испаритель, где из жидкого резко переходит в газообразное состояние. Температура сильно падает, тепло отводится от камеры хранения.
- Проходя трубки испарителя, подогретый газ поступает к компрессору.
- Под высоким давлением хладагент поступает в конденсатор. Сжатый газ сильно нагрет, во время прохода по длинной трубке он постепенно остывает.
- На выходе конденсатора газ имеет температуру, позволяющую ему перейти в жидкое состояние. Собирается хладагент в капиллярном устройстве.
Дальше схема повторяется. Жидкость попадает в испаритель, переходит в газообразное состояние, сильно при этом охлаждаясь. Цикл дублируется снова и снова. До тех пор, пока температурные датчики внутри пространства камер холодильника не дадут сигнал останова на компрессор.
Современные нагнетатели холодильников выполнены по закрытой схеме. Все конструкционные части компрессора расположены в герметичном объеме. Это позволяет избежать утечек хладагента, а применение специальных рефрижераторых масел гарантирует долгие годы работы нагнетателя.
Сегодня в роли хладагента применяется фреон-12. Этот газ не самый лучший вариант, поскольку его температура кипения сравнительно велика, примерно -30 градусов. В годы СССР существовал и другой вариант — холодильники на азотном хладагенте. Он мог обеспечить резкий отбор тепла вплоть до -98 градусов Цельсия. Однако в отличие от фреона, такой хладагент был потенциально опасен при аварии компрессорной установки, способен нанести вред здоровью человека, поэтому от его использования отказались.
Абсорбционные холодильники
Абсорбционные — это не сильно знакомые среднестатистическому пользователю установки. Такие типы холодильников хорошо знают те, кто привык обитать в зонах без электричества, также данный тип устройств широко используется дальнобойщиками.
Хладагентом в абсорбционной схеме выступает концентрированный раствор аммиака. Холодильник работает следующим образом:
- в зоне разделения концентрированный раствор подогревается, происходит испарение аммиака;
- газ подается в испаритель, где расширяется и отбирает тепло от камеры хранения продуктов;
- одновременно остатки раствора прокачиваются в камеру абсорбции;
- после прохода испарителя температура аммиака растет, он подается в абсорбционную камеру, где смешивается со своим же слабым раствором, повышая его концентрацию. Зона смешивания охлаждается вентиляторами или (в зависимости от источника энергии) естественным путем.
Полученный в конце одного цикла состав снова закачивается в камеру нагрева. Холодильник повторяет схему циркуляции аммиака до тех пор, пока не будет достигнута заданная температура внутри камеры хранения продуктов.
У абсорбционного холодильника масса недостатков, которые резко ограничивают широкое применение в быту. Во-первых, концентрированный раствор аммиака очень опасен, при аварии и вытекании вред для здоровья может выражаться в количестве умерших людей, которые находились в непосредственной близости от устройства. Производители знают об этом, поэтому применяется многоступенчатая защита, предотвращающая испарение в открытый воздух. Во-вторых, производительность абсорбционной установки мала. Холодильники морозят медленно и их легко вывести в режим непрерывной работы, перегрузки, просто забыв закрыть дверку. Малые показатели скорости отвода тепла также не позволяют делать большие камеры хранения или заморозки.

Но у абсорбционных холодильников есть и достоинства. В качестве источника тепла могут использоваться:
- электричество, нагревательные тены;
- природный горючий газ, что делает абсорбционный холодильник отличным вариантом для дачи далеко за городом;
- выхлопные газы двигателя внутреннего сгорания, чем характеризуются некоторые модели для дальнобойщиков.
Современный холодильник абсорбционного типа — достаточно распространенное на рынке изделие, надежное, удобное, предназначенное для четко очерченного целевого сегмента аудитории. Нельзя сказать, что по принципу действия данный класс сильно отличается от компрессорного. Они похожи, однако каждый из них имеет кардинально разные сферы применения.
Термоэлектрические установки
Холодильники на термоэлектрическом принципе называют установками прямого поглощения тепла. Здесь нет хладагента, системы циркуляции, перехода агрегатных состояний и других сложностей. Охладителем выступает пластина полупроводника. Термоэлектрическая установка использует эффект Пельтье и работает следующим образом:
- при подаче электрического тока определенной полярности пластина охлаждается;
- происходит отбор тепла из камеры хранения продуктов;
- при подаче напряжения обратной полярности температура полупроводника растет, поэтому термоэлектрическая установка может нагревать содержимое.
Из принципа работы следует группа ограничений, которая присуща всем холодильникам прямого преобразования тепла. Список выглядит так:
- сила тока, потребляемого устройством, ограничивается, чтобы не допускать перегрузки источника питания. Поэтому существует понятие дельты температуры. Простыми словами — количество градусов разницы между окружающей средой и пространством камеры хранения. Например, если холодильник обеспечивает снижение на 30, то при сорокоградусной жаре напитки и еда будут охлаждены до 10 тепла;
- есть показатель минимально возможной температуры, ниже которой пластина полупроводника не может охладиться. У дорогих моделей термоэлектрических холодильников значение этой характеристики находится в пределах от -6 до -3 градусов Цельсия;
- термоэлектрическая установка отводит тепло крайне медленно. Поэтому перед помещением внутрь камеры продукты нужно охладить. Иначе — ждать комфортной температуры напитков или мяса придется крайне долго.
Приведенные ограничения никак не мешают термоэлектрическим холодильниками быть крайне популярными у автомобилистов, любителей путешествий и отдыха на природе. В камеру для облегчения задачи установки можно добавить лед, в продаже есть модели с самыми разными объемами камер — от небольшого хранилища для напитков до нескольких десятков литров.

Раздел для гуманитариев
Вспоминая веселую фразу «когда я спрашивала, какой телефон, надо было сказать красненький или синенький, а не сыпать цифрами и незнакомыми пугающими словами», приведем еще одну классификацию холодильников, по которой также выбирают покупки в магазинах. Современные устройства могут быть:
- настольные — это небольшой формат, который весьма удобен для охлаждения напитков или хранения продуктов малого объема;
- настенные, выполняемые в виде подвесных шкафов разного размера. Такой холодильник удобно встраивать в композицию кухонного гарнитура;
- напольные — самый популярный формат, знакомый каждому современному человеку. Одно, двух, трехкамерные, с разным количеством дверок, оборудованные выдвижными камерами хранения, с одним или двумя компрессорами — данный класс холодильников выполняется в невероятном количестве исполнений;
- встраиваемые — редко продаваемый и достаточно непопулярный класс. Его неудобство состоит в том, что установке требуется приток свежего воздуха для охлаждения конденсатора или другого узла отвода тепла. А делать это при условии монтажа установки в мебель или стенную нишу достаточно проблематично.
Сегодня рынок предлагает все, что нужно потенциальному владельцу холодильника для удовлетворения потребностей. Есть модели разных размеров, построенные на том или ином принципе, удобные в определенных сферах применения.
В качестве заключения
Завершая обзор технологий создания холода, нельзя не упомянуть вихревые установки. Это крупные и с большим показателем мощности промышленные монстры, хладагентом в которых выступает простой воздух. Он подается компрессорами под огромным давлением (20-30 атмосфер) в специальные зоны вихревого рассеяния, где происходит резкое падение температуры. Приемлемая производительность достигается только при действительно огромных масштабах установки. Поэтому вихревые холодильники используются практически только в промышленности для охлаждения, например, воды в капельных установках.
tehnopanorama.ru
Методика расчёта потребности предприятия в холоде. Типы холодильных установок систем холодоснабжения и выбор основного оборудования Не доработан. Не всё!!!!!
Холодильные установки— это комплекс, включающий в себя генератор холода, охлаждающую систему и вспомогательные устройства, предназначенные для получения и использования искусственного холода в технологических процессах. Предназначены для охлаждения и поддержания при низкой температуре различных объектов и технических систем.
Машины, аппараты и приборы охлаждения холодильных установок выбираютпо тепловой нагрузке на компенсацию различного рода теплопритоков и тепловыделений.
Основные виды теплопритоков: поступающие через охлаждения, от вентиляции, эксплуатационные притоки. В итоге по сумме теплопритоков за расчётный период подбирают камерное и машинное оборудования для предприятий.
Охладительная система делится на системы непосредственного охлаждения и промежуточного хладоносителя и смешанные. Каждая из них подразделяется на насосную и безнасосную;
по виду хладоносителей: жидкостные и воздушные, по типу испарителя, по месту кипения хладогента.
Типы систем хладоснабжения:
— с параллельной раздачей хладоносителя;
— с последовательной раздачей хладоносителя;
Их недостатки: температура хладоносителя в аккумуляторе холода повышается от минимальной до максимально допустимого значения; отепленный хладоноситель смешивается с охлаждённым в испарителе, что приводит к потерям энергии, затраченной на охлаждение.
Этих недостатков лишена система хладоснабжения с 3 аккумуляторами холода. Такая система позволяет всегда строго поддерживать определённую температуру технологии охлаждения и заранее заряжать аккумулятор необходимым количеством хладоносителя для пиковой нагрузки.
Парокомпрессионная холодильнаяустановка включает в себя 4 основных элемента:
-компрессор;
-конденсатор;
-испаритель;
-терморегулирующий вентиль.
Выбор типа и количества её элементов определяется характером, типом нагрузки, удобством обслуживания, наличием места для их установки, источником водоснабжения.
Широко распространены горизонтальные кожухотрубные конденсаторы, которые применяются в холодильных установках различной производительности, работающих на аммиаке и хладоне. Использовать такие конденсаторы целесообразно при наличии оборотного водоснабжения. Вертикальные конденсаторы применяются для крупных холодильных установок, использующих морскую или речную загрязнённую воду. В установках малой производительности применяются агрегаты, каждый из которых имеет собственный конденсатор, при этом выбирается такое число агентов, которое удовлетворяет полной тепловой нагрузке.
№31
Типы контролируемых и защитных атмосфер, их генераторы и системы распределения. Установки для разделения воздуха.
Контролируемые атмосферы по их действию на стали делятся на след типы:
— инертные атмосферы для защиты от окисления и обезуглероживания;
— науглероживающе-восстановительные атмосферы для защиты от окисления, обезуглероживания;
— для науглероживания, а также насыщения азотом, аммонием, хромом и т.д.
Контролируемые атмосферыполучаются в специальных генераторах при сжигании углеводородного топлива.Свойстваэтих атмосфер могут контролироваться в процессах их приготовления. Современная технология обработки металла невозможна без специальных технологических атмосфер, которые заполняют рабочее пространство термических печей. Пространство бывает заполнено смесью газов, каждый из которых по-разному взаимодействует с поверхностью изделий, подвергнутых химико-термической обработке. Как правило, контролируемые атмосферы приготавливают из углеводородного сырья, в их состав в основном входят азот, оксид углерода, водород и др.
Методы промышленного разделения воздуха основаны на его сжигании с последующей низкотемпературной ректификацией. В основу такого разделения положено различие в температуре кипения кислорода и азота (tкип азота<tкип кислорода). Применяетсяоднократная и двукратная ректификация.
Однократная ректификация.
Колонна однократной низкотемпературной ректификации. Разделенная смесь( жидкость или смесь пара и жидкости, сухой насыщенный пар) по трубопроводу 1подается в среднюю частьколонны 2. В нижней части разделяемая смесь накапливается в виде жидкости, где размещен трубчатыйиспаритель 3.
азот (г)
Жидкая фаза О2иN2по тарелкам колонны пары азот+кислород вниз и за счет подвода теплоты кэлементу 3испаряется, поднимаясь вверх колонны, и поступает вконденсатор 4,в котором осуществляется отвод теплоты. Образовавшаяся при этом жидкая фаза, стекает вниз, контактируя с восходящим потоком паров.В испарителе 3сначала испаряется жидкийN2, а оставшаяся жидкость насыщается О2. При этом температура кипения жидкости возрастает и начинает испаряться О2. В конденсаторе сначала конденсируются пары О2и жидкий кислород стекает вниз. Температура конденсации снижается за счет обогащения смеси азотом. В результате из верхней части колонны отбирается жидкий или газообразный азот, а из нижней кислород. Получается чистый кислород, а азот с добавлением 5… 10% О2.
жидкий кислород
Двукратная ректификация

Нижняя колонна Vслужит для предварительного разделения воздуха на легкокипящий компонент азот и обогащённую кислородом жидкость. Воздух при температуре насыщения и давлении 0,48-0,52 МПа поступает в нижнюю часть колонны (испаритель).
Полученные продукты разделения- жидкий азот и обогащённый кислородом воздух полностью через дроссельные вентили IXиX подаются в верхнюю колонну. Под давлением 0,14-0,16 МПа происходит полное разделение обогащённого кислородом воздуха на кислород и азот. В нижней частиколонны VI (конденсаторе-испарителе) собирается кипящий кислород, откуда он может отводиться либо в газообразном Кг, либо в жидком виде Кж. Из верхней части колонны отводится газообразный Аг, либо жидкий Аж азот. Теплопередача вконденсаторе-испарителе VIIот конденсирующегося вколонне Vазота к кипящему вколонне VI кислороду обеспечивается тем, что давление в нижней колонне выше чем в верхней; поэтому температура конденсации азота выше на 1,5 – 3 К, чем температура кипения кислорода. Кг и Аг из колонны поступает вт/обменник III, в котором нагревается охлаждая воздух. Кислород отбирается из конденсатора в жидком виде и насосом прокачивается черезт/обменник III, где испаряется, нагревается и затем подаётся потребителю.Детандер IVобеспечивает систему холодом.
№32
studfiles.net
Классификация холодильных установок — Статьи
В зависимости от конкретного назначения применяют холодильные установки самых различных типов, размеров и конструкций. По методу получения холода, холодопроизводительности, применяемому холодильному агенту и ряду других признании все установки могут быть разбиты на несколько групп, морозильные установки по основным признакам делятся:
- по методу получения холода: компрессионные;паровые; абсорбционные; пароэжекторные; воздушные ;термоэлектрические (полупроводниковые).
- по холодильному агенту:
Независимо от холодопроизводительности в установках могут применяться различные холодильные агенты: аммиак, фреон-12, фреон-22, фреон-142, хлор-метил, углекислота, сернистый ангидрид и др. Различие в свойствах применяемых холодильных агентов определяет схему холодильной установки, конструкцию отдельных узлов, монтаж установки и ее эксплуатацию. Особенно важно учитывать давление холодильных агентов, объемную холодопроизводительность, степень вредности и взрывоопасное™, способность растворять масло и влагу, взаимодействие с металлами, резиной и другими материалами.
Рассмотрим основные отличительные черты аммиачных и фреоновых’ установок, которые нашли наиболее широкое применение.
В отличие от аммиака фреоны хорошо растворяют минеральное масло, которое имеется в компрессоре для смазки трущихся деталей. В аммиачных установках масло, уносимое из картера компрессора в систему, собирается в маслоотделителе, а часть его попадает в конденсатор и далее в испаритель. Это ухудшает работу теплообменных аппаратов, требует периодического спуска масла из них и последующей дозаряди. Во фреоновых установкамасла из картера компрессора значительно выше, но, (Следствие растворения по фреоне, оно возвращается из испарителя п компрессор, циркулируя вместе с холодильным агентом.
Можно ли аммиачную установку зарядить фреоном-22? По давлению и холодопроизводительности эти агенты вполне заменяют друг друга. Однако необходимо проверить, обеспечит ли данная конструкция машины возврат масла из испарителя в компрессор. В настоящее время имеется стремление к выпуску унифицированных установок, которые могли бы работать и на аммиаке, и на фреоне-22.
Фреоновые установки требуют повышенной герметичности системы, более тщательной осушки от влаги и чистоты ее. Поэтому по фреоновых установках устанавливают дополнительные фильтры и осушительные силикона — гелиевые патроны.
Во фреоновых установках обычно ставят теплообменник, так как перегрев паров на всасывании здесь целесообразен.
Инертность фреонов к цветным металлам позволяет применять приборы автоматизации во фреоновых холодильных установках шире, чем в аммиачных.
Отдельные узлы и аппараты холодильных установок, работающих на фреоне-12, рассчитываются на более низкие давления, чем для аммиака и фреона-22.
1 Здесь и в дальнейшем под понятием «фреоновые установки» подразумеваются установки, работающие на фреоне-12, а под словом «фреон» — фреон-12.
Наряжать установки, рассчитанные на фреон-12, фреоном-22 и аммиаком нельзя, так как создаются опасные давления в системе и требуется более высокая мощность электродвигателя. Аммиак, кроме того, будет реагировать с цветными металлами. уряжать френом-12 установки, рассчитанные на аммиак или фреон-22, экономически невыгодно, так как не будет полностьюпользована проектная холодопроизводительность установки.
Фреоновые установки безопаснее аммиачных.
По числу ступенейсжатияпаров:
I. Одноступенчатые. Четырехступенчатые.Трех- и многоступенчатые. Каскадные.
И одноступенчатых установках пары низкого давления сжимаюткомпрессором сразу до давления конденсации. При потере температуры кипения степень сжатия повышается, возрастают потери производительности компрессора и питается температура сжатых паров. Поэтому во фреона аммиачных установках, где требуется температура кипе-30°, применяется двухступенчатое сжатие, а при и ударах кипения —65-и—70° иниже — трехступенчатое.
По расположению осей цилиндров — на горизонтальные (Г), вертикальные (В) и V-образные (У)—с расположением осей цилиндров под углом. Вертикальные и V-образные компрессоры занимают значительно меньшую площадь, чем гори шпальные.
По типу компрессора:
- С поршневым компрессором
- С ротационным компрессором
- С центробежным компрессором
www.airpromvent.ru
Общая характеристика холодильных установок
Выработка искусственного холода и трансформация теплоты с более низкого температурного уровня на более высокий широко применяются в различных отраслях промышленности. Тепловые машины, предназначенные для понижения температуры тел ниже окружающей среды и непрерывного поддержания этой температуры, называются холодильными установками. Эти же тепловые машины, предназначенные для повышения температурного уровня теплоты окружающей среды, называются трансформаторами теплоты, или тепловыми насосами.
В зависимости от температуры, которая должна быть достигнута при охлаждении, различают холодильные установки умеренного холода (до – 70 ºС) и установки глубокого холода (до – 200 ºС и ниже).
Установки, в которых энергия для получения холода затрачивается в виде механической работы на привод компрессора, называются компрессионными, а установки, в которых энергия затрачивается в виде теплоты на термохимическую компрессию, – абсорбционными.
Холодильные установки и тепловые насосы работают по обратным (против часовой стрелки) круговым процессам, или циклам.
В заданном температурном интервале теоретически наиболее выгодным циклом холодильной установки является обратный цикл Карно.
Цикл паровой компрессионной холодильной установки
Паровые компрессионные установки позволяют в области насыщенного пара приблизить холодильный цикл к обратному циклу Карно. Насыщенный пар низкокипящей жидкости (хладагента) всасывается компрессором и адиабатно сжимается до давления конденсации p2 с затратой работы lц (процесс 1-2). После компрессора сжатый пар поступает в конденсатор, где при постоянном давлении p2 вследствие отнятия у пара теплоты q1 охлаждающей водой (процесс 2-2’-3) снижается температура перегретого пара (2-2’), а затем при постоянной температуре насыщенного пара осуществляется полная конденсация (2’-3).

Для дальнейшего снижения температуры хладагента можно было бы применить расширительную машину и осуществлять в ней адиабатное расширение 3-4’ (с производством внешней работы за счет убыли внутренней энергии). Однако для упрощения установки и обеспечения гибкой регулировки расширительную машину заменяют регулирующим дроссельным вентилем, в котором хладагент после конденсатора дросселируется с понижением давления и температуры (процесс 3-4). На диаграмме T-s процесс дросселирования, как необратимый, условно показан пунктиром 3-4 (h=const). После дроссельного вентиля (точка 4) образовавшаяся парожидкостная смесь (влажный пар) с низкой температурой T2 поступает по трубам в испаритель, который находится в холодильной камере X. В испарителе при постоянных температуре T2 и давлении p1 происходит отбор теплоты q2 от охлаждаемых объектов (производство холода) и за счет этого испарение (кипение) хладагента (процесс 4-1). Образовавшийся пар (точка 1) вновь засасывается компрессором, и цикл повторяется.
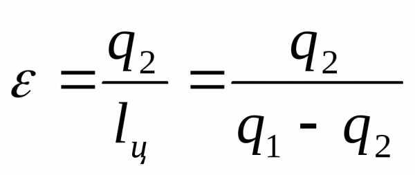
Холодильный коэффициент:
.
Количество теплоты q2, отнятой 1 кг хладагента от охлаждаемой среды, называется удельной хладопроизводительностью q2 = пл. |41ba4| = h1 – h4 = h1 – h3.
Количество теплоты, переданной в конденсаторе охлаждающей среде при постоянном давлении:
q1 = пл. |22’3’3b2| = h2 – h3.
Тогда
.
Отсюда следует, что ε увеличивается с повышением температуры в испарителе T2, (чем выше расположена линия 4-1, тем больше хладопроизводительность) и понижением температуры охлаждающе среды в конденсаторе T1 (линия 2’-2 расположена ниже, затрачиваемая работа в компрессоре меньше).
Затрата работы в компрессоре при адиабатном сжатии 1-2
,
что на диаграмме T-s соответствует пл. |122’34”1|.
Эффективность холодильных установок зависит от свойств хладагентов, к которым предъявляется ряд требований:
давление насыщенного пара хладагента, соответсвующее требуемым низким температурам, должно быть выше атмосферного, так как при этом легче бороться с утечкой хладагента, чем с подсосом воздуха при вакууме; попадающий в хладагент воздух сильно ухудшает теплопередачу и содержит влагу, которая может замерзать при низкой температуре;
теплота парообразования r должна быть по возможности большей, так как при одном и том же расходе хладагента она определяет хладопроизводительность установки;
хладагенты не должны вредно воздействовать на здоровье человека и не должны обладать корродирующими свойствами
Наиболее распространенным хладагентом является аммиак (tн = –33,5 ºС), позволяющий получить достаточно высокий холодильный коэффициент и относительно невысокое давление в цикле. Однако из-за токсичности аммиака в последнее время широко применяются фреоны (в частности, фреон-12). По термодинамическим свойствам фреон-12 ближе к аммиаку, хотя меньшая его теплота парообразования обусловливает большой расход хладагента.
studfiles.net